军事

加沙停火协议文本公布:结束战争“六步走”

观察者网   

据《以色列时报》报道,当地时间9日夜间,以色列公共广播公司Kan发布了以色列、哈马斯和调解员在埃及签署的释放被扣押人员和结束加沙冲突的协议副本。

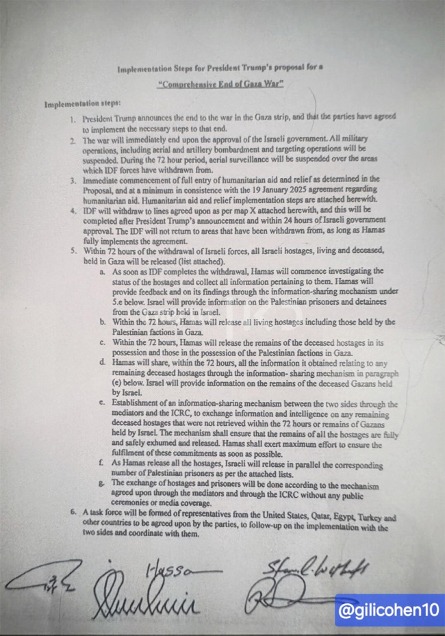
该文件标题为“特朗普总统‘加沙战争全面结束’计划执行步骤”,详细列出了协议各阶段安排:

第一步是美国总统特朗普宣布“加沙地带战争结束,各方已同意为此采取必要执行措施”。

第二步明确,“以色列政府批准协议后,战争将立即终止”,所有军事行动都将停止。

第三步要求“立即开始向加沙地带全面运送人道主义援助物资与救济品”。

第四步规定,“以色列国防军(IDF)将撤至文件所附X号地图载明的约定防线,撤军行动将在特朗普总统宣布‘战争结束’后、以色列政府批准协议的24小时内完成”,且“只要哈马斯全面履行协议,以色列国防军将不再返回已撤出的区域”。

第五步将于以色列军队撤军后72小时内实施,内容为“所有被关押在加沙的以色列人质,无论生者还是逝者,均需释放”。

第五步的一项子条款要求“建立信息共享机制,用于通报72小时内未寻回的遇难人质信息,以及以色列所持有加沙人员的遗体信息”。文件补充道:“该机制应确保所有遇难人质的遗体得到完整、安全的挖掘与移交。哈马斯须尽最大努力,确保尽快履行上述承诺。”

第五步下一子条款规定:“哈马斯释放所有人质的同时,以色列应根据所附名单,同步释放相应数量的巴勒斯坦囚犯。”随后另一子条款明确:“人质与囚犯交换工作,需通过调解方及红十字国际委员会(ICRC)商定的机制进行,过程不举行任何公开仪式,也不接受媒体报道。”

文件列出的最后一步显示:“将组建由美国、卡塔尔、埃及、土耳其及各方商定的其他国家代表组成的工作组,负责跟进双方协议执行情况,并与双方开展协调。”

加沙停火协议文本公布:结束战争“六步走”

加沙停火协议副本

展开全文

猜你喜欢

热点新闻